Haidunia.com - Tes matematika dasar untuk melamar pekerjaan dan jawabannya sangat pas dipelajari oleh Anda yang sedang bersiap mencari kerja tentunya. Pembahasan soal matematika dasar dan jawabannya ini menjadi materi yang sangat penting terutama bagi Anda yang baru lulus sekolah ataupun kuliah.
Tes matematika dasar untuk melamar pekerjaan dan jawabannya ini akan sangat membantu Anda memahami tes matematika dasar. Sehingga tes matematika dasar tidak lagi menjadi momok yang bisa menjegal Anda dalam sebuah proses seleksi tenaga kerja.
Tes matematika dasar untuk melamar pekerjaan dan jawabannya juga cocok dipelajari oleh Anda yang sedang persiapan mengikuti tes seleksi rekrutmen aparatur sipil negara (ASN), pegawai BUMN maupun karyawan di perusahaan bonafide lainnya. Pastinya soal matematika dasar dan penyelesaiannya yang disajikan oleh tim haidunia.com sangat mudah untuk Anda pahami.
Daftar Isi
Tes Matematika Dasar untuk Melamar Pekerjaan dan Jawabannya
Tes matematika dasar untuk melamar pekerjaan dan jawabannya secara materi sebenarnya sudah Anda pelajari sejak duduk di bangku sekolah menengah atas. (SMA). Karena materi tes kemampuan dasar matematika merupakan bagian dari pelajaran matematika di sekolah itu sendiri. Bahkan dasar-dasarnya sudah dimulai sejak jenjang sekolah menengah pertama.
Adapun materi tes matematika dasar yang digunakan dalam psikotes memiliki sedikit keunikan. Secara khusus, beberapa materi tes matematika dasar untuk melamar pekerjaan yang sering digunakan dalam psikotes bisa kita rinci sebagai berikut:
- Tes aritmetika
- Himpunan
- Bentuk kuadrat dan akar
- Geometri
- Rumus Jarak Waktu dan Kecepatan
- Perbandingan senilai dan berbalik nilai
- Persamaan Linear
- Deret Angka
- Tes Logika Matematika
Tentunya semua materi tes matematika dasar di atas akan lebih mudah kita pahami jika diwujudkan dalam contoh soal psikotes matematika dasar yang sekaligus disertai jawabannya. Sekarang mari kita simak Tes matematika dasar untuk melamar pekerjaan dan jawabannya berikut ini.
Soal nomor 1
(55 + 30)²= ….
a. 7175
b. 7125
c. 7225
d. 9025
e. 8025
Jawaban: c
Pembahasan:
(55 + 30)²= (85)² = 7225
Soal nomor 2
183 berapa persennya dari 150?
a. 120
b. 122
c. 124
d. 125
e. 126
Jawaban: b
Pembahasan:
Misal X = besarnya persentase, maka:
183 = X% × 150
X = (83/150) × 100
= 122
Soal nomor 3
√(696+ 23²)= ….
a. 28
b. 35
c. 38
d. 45
e. 25
Jawaban: c
Pembahasan:
√(696+ 23²) = √(696+ 529)
=√1225
= 35
Soal nomor 4
Berapakah tiga bilangan berurutan jika dipangkatkan berjumlah 50?
a. 2, 3, 4
b. 4, 5, 6
c. 5, 6, 7
d. 6, 7, 8
e. 7, 8, 9
Jawaban: b
Pembahasan:
Cara menjawabnya adalah dengan mengecek setiap option jawaban.
misal option a. 2, 3, 4 ⇒ 2² + 3² + 4² = 29
b. 3, 4, 5 ⇒ 3² + 4² + 5² = 50
Jadi jawaban yang tepat b.
Soal nomor 5
Jika x = 1/16 dan y = 16%, maka pernyataan yang benar adalah ….
a. x > y
b. x < y
c. x = y
d. x dan y tak dapat ditentukan
e. x² > y
Jawaban: a
Pembahasan:
Cara paling mudah untuk menjawab adalah menghitung hasil x dan y.
x = 1/16 = 0,625
y = 16% = 16/100 = 0,16
Dari hasil di atas sudah bisa disimpulkan nilai x lebih besar dari y, atau x > y. Jadi jawaban yang tepat a.
Soal nomor 6
Yang manakah dari kelima pilihan berikut ini yang merupakan hasil yang paling sesuai dari perbandingan yang ditujukan oleh 15 terhadap 5, seperti 21 terhadap ….
a. 12
b. 7
c. 3
d. 9
e. 20
Jawaban: b
Pembahasan:
15 terhadap 5 berarti ada pembagian oleh bilangan 3. Maka jika 21 dibagi 3 hasilnya adalah 7. Jadi jawaban yang tepat adalah b.
Soal nomor 7
Jika 2x = 64 dan 3y = 81, maka pernyataan yang benar adalah ….
a. x > y
b. x < y
c. x = y
d. x dan y tak bisa ditentukan
e. xy <y
Jawaban: a
Pembahasan:
Untuk menjawab dengan akurat harus dicari terlebih dahulu nilai dari x dan y.
2x = 64 ⇒ x = 64/2 = 32
3y = 81⇒ y = 81/3 = 27
Maka jawaban yang tepat adalah a. x > y
Soal nomor 8
Jika xyz = 0, xst = 0, dan yts = 1, maka pernyataan di bawah ini yang benar adalah ….
a. x = 0
b. y = 0
c. z = 0
d. s = 0
e. t = 0
Jawaban: a
Pembahasan:
yts = 1, berarti tidak ada y, t atau s yang bernilai nol.
Karena s dan t ≠ 0, maka dari xst = 0 didapatkan x = 0.
Soal nomor 9
Jika 6 x 6 x t = 18 x 18 x 18, maka nilai t adalah ….
a. 3
b. 9
c. 54
d. 108
e. 162
Jawaban: d
Pembahasan: \[\]$$t=\frac{18 ×18×18}{6 × 6}$$
=108\[\]
Soal nomor 10
(1/2) + 4x = 10, maka nilai x adalah ….
a. -(9/8)
b. 5/22
c. 11/2
d. -(19/4)
e. 19/8
Jawaban: e
\[\]
$$x = \frac{10 -\frac{1}{2}}{4}$$
$$x = \frac{\frac{20-1}{2}}{4}$$
$$x = \frac{\frac{19}{2}}{4}$$
$$x= \frac{19}{8}$$
Soal nomor 11
Jika M adalah himpunan huruf yang terdapat pada kata “CATATAN”, maka banyaknya anggota himpunan bagian dari M yang tidak kosong adalah ….
a. 12
b. 13
c. 14
d. 15
e. 16
Jawaban: d
Pembahasan:
M = {CATN)
n(M) = 4
Banyaknya himpunan bagian= 24 = 16
Himpunan kosong (∅)= 1
Himpunan yang tidak kosong = 16 -1 = 15
Soal nomor 12
Misalkan A= { 2, 3, 5, 7}, B = { 3, 5, 8}, dan C = {5, 8, 11,13}, maka A – B = ….
a. { 2,3}
b. { 8,11,13}
c. {3}
d. {8}
e. ∅
Jawaban: a
Pembahasan:
Himpunan A – B terdiri atas elemen–elemen dalam A yang tidak berada dalam B, karena A = { 2, 3, 5, 7}, dan 3,5 ∈ B, maka A – B = { 2,3}. Begitu juga dengan penyelesaian berikutnya
Soal nomor 13
Pilihlah satu kata di bawah ini yang bukan merupakan bagian atau himpunan dari empat kata yang lainnya!
a. Ungu
b. Merah
c. Hitam
d. Jernih
e. Jingga
Jawaban: d
Pembahasan:
kata ungu, merah, hitam, dan jingga termasuk dalam kelompok atau himpunan warna, sedangkan jernih tidak termasuk. Jadi jawabannya adalah D
Soal nomor 14
Jika x² + y² = 5 dan xy=2, maka nilai dari x + y = ….
a. hanya 3
b. hanya -3
c. 3 atau -3
d. hanya 7
e. 7 atau -7
Jawaban: c
Pembahasan:
Kita coba mencari nilai x, kemudian dilanjutkan mencari nilai y.
Selanjutnya dapat ditentukan nilai x + y.
Kita bisa mencarinya menggunakan konsep persamaan kuadrat:
(x+y)²= x² + 2xy + y²
= x² + y² + 2xy
= 5 + 2.2
= 9
(x+y) = √9 = ±3 (maka jawaban yang benar adalah c)
Soal nomor 15
Jika [(1/y) + y]² = 36, maka 1/y² + y² = ….
a. 36
b. 6
c. 18
d. 38
e. 34
Jawaban: d
Pembahasan:
[(1/y) + y]² = 1/y² + 2 + y²
36 = 1/y² + y²+ 2
maka:
1/y² + y² = 36 + 2 = 38
Soal nomor 16
Jika sebuah bujur sangkar P luasnya 64 dan sisinya = x dan Q adalah sebuah empat persegi panjang, dimana salah satu sisinya 4, dan sisi lainnya y, bila P=Q, maka pernyataan berikut yang benar ….
a. x > y
b. x < y
c. x = y
d. x dan y tak bisa ditentukan
e. x = 2y
Jawaban: b

Pembahasan:
Perhatikan ilustrasi dalam capture gambar di atas!
Soal nomor 17
Seorang pekerja mengecet tembok yang tingginya 3 meter dan telah sepertiga selesai. Jika dia selanjutnya mengecat tembok 10 meter persegi lagi, dia sudah akan tigaperempat selesai. Berapa meterkah panjang tembok itu?
a. 10
b. 8
c. 6
d. 4
e. 3
Jawaban: c
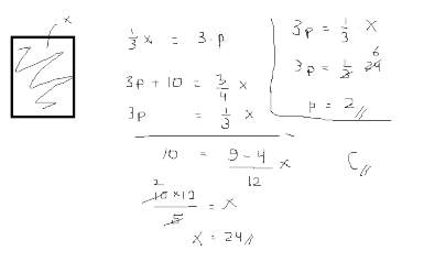
Pembahasan:
Perhatikan ilustrasi penyelesaian berikut.

Soal nomor 18
Jika tabung P tingginya dua kali tinggi tabung Q dan jari-jarinya setengah dari tabung Q, maka perbandingan isi tabung P terhadap isi tabung Q adalah ….
a. 1 : 4
b. 1 : 2
c. 1 : 1
d. 2 : 1
e. 4 : 1
Jawaban: c
Pembahasan:
Vp : Vq ⇒ π [(1/2)rq ]2 . 2tq = π rq2. tq
⇒ (1/2). 2 = 1 (gunakan sistem canselasi (pencoretan ruas kanan dan kiri)
⇒ 1 : 1
Soal nomor 19
Seekor burung terbang dengan kecepatan rata-rata 25km/jam. Berapakah panjang lintasan yang ditempuh burung selama 3 jam?
a. 50
b. 55
c. 60
d. 70
e. 75
Jawaban: e
Pembahasan:
Kecepatan (v) = 25 km/jam dan t = 3 jam
jarak (s) = v.t
= 25 km/jam . 3 jam
= 75 km
Soal nomor 20
Ali berjalan dari kota A ke kota B dengan kecepatan 8 km/jam selama 5 jam. Dan ia kembali ke kota A dengan naik motor. Berapa kecepatan ratrata seluruh perjalanan Ali bila ia kembali dari kota B ke kota A selama 3 jam?
a. 5 jam
b. 6 jam
c. 7 jam
d. 10 jam
e. 12 jam
Jawaban: d
Pembahasan:
Jarak antara kota A dan B (SAB) = v . t
= 8 × 5 km
= 40 km
Panjang lintasan seluruhnya (s) = 2 × 40 km = 80 km
Waktu seluruhnya (pulang-pergi);
t = 5 jam + 3 jam
= 8 jam
Kecepatan rata-rata (v) = d/t = 80/8 km/jam = 10 km/jam
Soal nomor 21
Jika roda pertama berputar 2 kali maka roda kedua berputar 5 kali. Berapa kalikah roda kedua akan berputar jika roda pertama berputar 6 kali?
a. 11 kali
b. 12 kali
c. 13 kali
d. 14 kali
e. 15 kali
Jawaban: e
Pembahasan:
Jika makin banyak putaran roda pertama, maka roda kedua juga makin besar. dengan demikian antara kedua roda terjadi perbandingan senilai.
| Roda I | Roda II |
| 2 | 5 |
| 6 | x |
Karena perbandingan senilai, maka:
2x = 5.6
2x = 30, maka = 15
Jadi bila roda pertama berputar 6 kali, maka roda kedua berputar sebanyak 15 kali.
Soal nomor 22
Enam buruh dapat menyelesaikan suatu pekerjaan dalam waktu 4 hari. Berapa orang buruh yang dibutuhkan untuk menyelesaikan pekerjaan tersebut dalam waktu 1 hari?
a. 26 hari
b. 25 hari
c. 24 hari
d. 23 hari
e. 22 hari
Jawaban: c
Pembahasan:
Makin banyak pekerja yang dipekerjakan, maka makin sedikit waktu yang dibutuhkan untuk menyelesaikan pekerjaan tersebut.
Berarti antara buruh dan waktu penyelesaian pekerjaan tersebut terjadi perbandingan berbalik nilai.
| Jumlah buruh | Waktu |
| 6 | 4 |
| x | 1 |
Perbandingan berbalik nilai, maka:
6.4 = 1. x, maka x = 24
Jadi dibutuhkan sebanyak 24 buruh untuk dapat menyelesaikan pekerjaan tersebut dalam waktu satu hari.
Soal nomor 23
Tentukanlah nilai t yang memenuhi persamaan: 5t -0,5t = 9!
a. 0
b. 2
c. 4
d. 4
e. 9
Jawaban: b
Pembahasan:
5t-1/2t = 9 ⇒ (9/2)t = 9 ⇒ t =2
Soal nomor 24
Jika r(y-2) = b, maka y = ….
a. (b/r) - 2
b. (b + 2r)/r
c. (b + r)
d. (b + 2r)/2
e. r/ b + 2
Jawaban: b
Pembahasan:
r(y-2) = b ⇒ y-2 = b/r
⇒ y = (b/r) + 2
⇒ y = (b + 2r)/r (disamakan penyebut)
Soal nomor 25
Jika a + by = cb, maka y dalam nilai a, b, c dan c adalah ….
a. ab-a-b
b. (c - b)/a
c. (cb + a)/a
d. (cb/a)- b
e. (cb - a)/b
Jawaban: e
Pembahasan:
a + by = cb ⇒ by = cb-a
⇒ y = (cb-a)/b
Tes matematika dasar untuk melamar pekerjaan dan jawabannya yang kami sajikan semoga dapat menambah referensi Anda. Dalam halaman ini sengaja tidak kami bahas materi tes deret angka, dikarenakan sebelumnya kami telah banyak membawakan materi tes deret angka psikotes. Silahkan Anda pelajari materi lainnya dari kami dengan judul: contoh soal matematika dasar tes kerja, contoh soal psikotes matematika dasar soal cerita, dan contoh soal matematika dasar psikotes. Semoga sukses akan menyertai masa depan Anda!





